Cálculo Diferencial
Definición

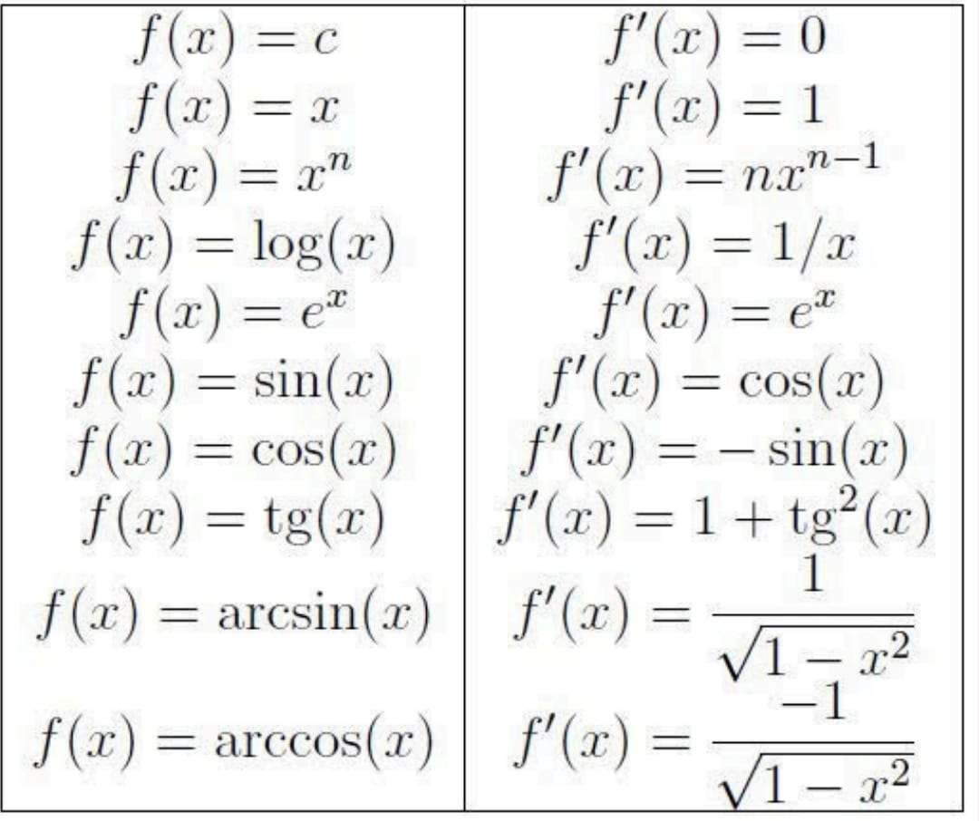
El cálculo diferencial es una rama de las matemáticas que analiza cómo cambian las funciones cuando varían sus valores. Su principal herramienta es la derivada, que permite calcular la pendiente, la velocidad o la tasa de cambio en un punto. Este tipo de cálculo se usa para estudiar el movimiento, el crecimiento, la optimización de recursos y muchos fenómenos en la física, la economía y la ingeniería
Origenes

Se originó en el siglo XVII, desarrollado de forma independiente por Isaac Newton y Gottfried Leibniz. Nació de la necesidad de resolver problemas relacionados con el movimiento y la velocidad de los cuerpos, así como con el estudio de tangentes a curvas y áreas.
Importancia

El cálculo diferencial es fundamental porque permite analizar y modelar el cambio continuo, ayudando a predecir comportamientos, optimizar procesos y resolver problemas complejos en campos como la ingeniería, la economía, la física y la tecnología. Su importancia radica en la capacidad de encontrar máximos y mínimos en funciones, determinar velocidades instantáneas y tasas de cambio, y analizar fenómenos que evolucionan constantemente.
Áreas de aplicación

Las principales áreas de aplicación del cálculo diferencial incluyen la física (para analizar movimiento, velocidad y aceleración), la economía (para optimización de beneficios, coste marginal e ingreso marginal), la ingeniería (en diseño, tasas de cambio y control de circuitos) y la biología (para modelos de crecimiento poblacional o propagación de enfermedades). Se utiliza para analizar cómo cambian las funciones, resolver problemas de optimización y modelar fenómenos en una gran variedad de campos.
OPTIMIZACIÓN DE UNA LATA CILINDRICA
Con una lámina se desea construir una lata cilíndrica que contenga 1000 cm³ de volumen. Determinar las dimensiones de la lata (radio y altura) de manera que se utilice la mínima cantidad de lámina posible, así como la superficie total.
Datos:
V = 1000 = πr²h
De aquí despejamos: h = 1000 / (πr²)
La superficie total (tapa, base y costado) es: S = 2πr² + 2πrh
Sustituyendo h: S = 2πr² + 2πr(1000 / (πr²))
Simplificando: S = 2πr² + 2000 / r
Derivamos para minimizar: S' = 4πr - 2000 / r²
Igualamos a cero: 4πr = 2000 / r²
r³ = 500 / π
r = ∛(500 / π) ≈ 5.31 cm
Ahora hallamos h: h = 1000 / (π(5.31)²) ≈ 11.29 cm
Finalmente, la superficie mínima: S = 2π(5.31)² + 2000 / 5.31 ≈ 530.9 cm²
Resultado final:
Radio = 5.31 cm
Altura = 11.29 cm
Superficie mínima = 530.9 cm

